반응형
영상 ⨍ 의 일차 미분
- 이산 함수 f(x, y)에서 x 방향으로의 일차 미분이다.

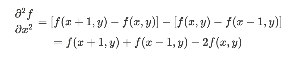
영상 ⨍ 의 이차편미분
- 이산 함수 ⨍(x, y)에서 x 방향으로의 이차 편미분이다.
- 편미분 : 함수의 변수가 2개 이상인 함수에서 변수 1개의 변화에 따른 기울기를 알고 싶을 때 사용 한다.

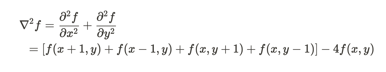
영상 ⨍ 의 이차미분
- x축과 y축에 대한 각각의 이차미분을 수행하고, 각 방향에 대한 이차미분 결과를 합친다.

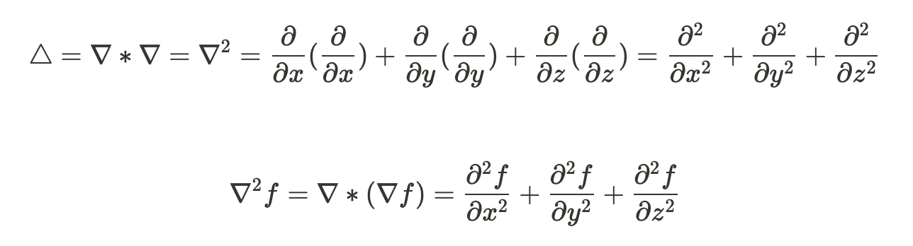
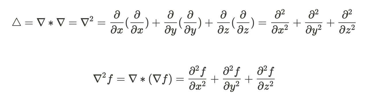
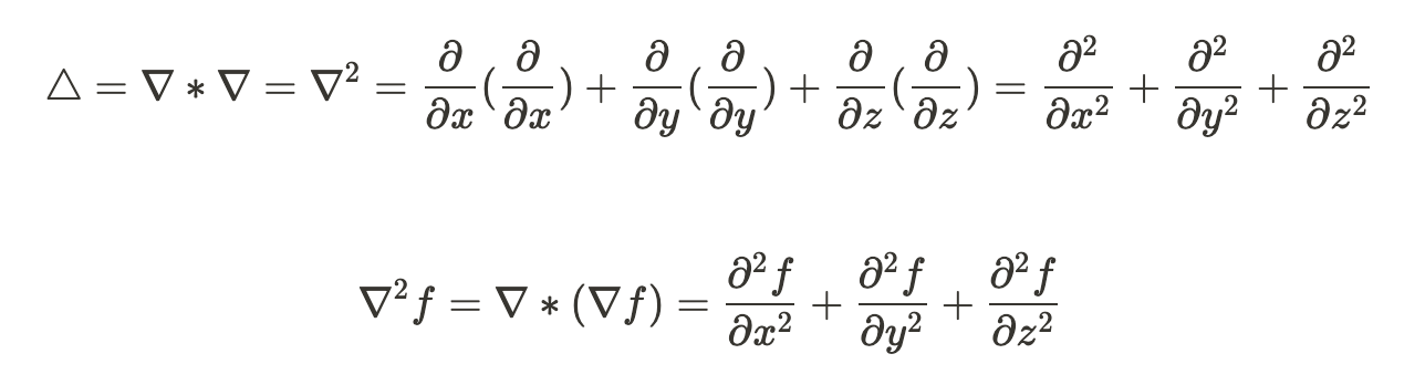
- 이차 미분을 나타내는 연산자는 ∇2이며 라플라시안 또는 델타스퀘어라고 읽는다.
- 위 수식은 마스크 형태로 나타낼 수 있으며, 이를 라플라시안 필터 마스크라고 한다.

왜 이차미분을 사용할까?
- 일차 미분 시, 외곽선(Edge) 부근에서 픽셀의 값이 뛰는 것을 확인할 수 있다.

- 이차 미분을 이용하면 에지의 중심 부분을 찾을 수 있다.
- 이차 미분 시 에지 부분이 0으로 부호가 바뀌게 되는 것을 확인할 수 있다. 이를 변곡점 혹은 영교차라고 한다.
- 이를 사용하여 이미지의 에지를 검출할 수 있다.

라플라시안 연산자 (Laplacian Operator)

- 라플라시안 연산자는 위의 기호가 말해주듯이 Divergence(발산 : ∇*⨍) of Gradient(경도 : ∇⨍) 이다.
- Gradient 연산자(∇⨍)는 벡터 함수로 정의하는 벡터장 내의 한 점에서 벡터 함수의 값이 가장 급격히 변하는 주변의 위치와 크기를 알려준다.
- Divergence 연산자(∇*⨍)는 단위 단면적으로부터 퍼져 나가는 정도를 알려주기 때문에 Divergence 가 0이라면 퍼져 나가는 정도와 유입되는 정도가 동일하므로 벡터의 흐름이 균일한 상태를 의미한다.
- 그러므로 라플라스 연산자는 벡터장 내의 벡터의 흐름이 균일하지 못한 정도를 나타낸다고 볼 수 있다.
- 영상처리 분야에서 외곽선(Edge) 검출 시 라플라시안 필터를 사용한다. 외곽선은 주변의 다른 영역에 비해서 확연히 다른 색상과 형태로 되어 있기 때문에 라플라스 연산자를 사용하여 값이 큰 곳을 찾으면 외곽선을 검출할 수 있다.

참고
반응형
'Computer vision' 카테고리의 다른 글
| [Computer vision] 이진화 알고리즘 / 오츄 알고리즘 (0) | 2021.10.29 |
|---|---|
| [Computer vision] 이진영상 라벨링하기 / 4연결성(4-neighbors), 8연결성(8-neighbors) (0) | 2021.10.27 |
| [Computer vision] 선형 필터(Linear Filter) / 박스 필터(Box Filter), 가우시안 필터(Gaussian Filter) (0) | 2021.09.23 |
| [Computer vision] 컨볼루션 Convolution이란? (0) | 2021.09.23 |
| [Computer vision] 05. 이진영상 (0) | 2021.09.16 |